ISSN 1003-8035 CN 11-2852/P

    考虑库水升降和滑带弱化作用的岸坡启滑机制分析

    Analysis on the mechanism of bank slope sliding considering the effect of reservoir water fluctuation and sliding zone weakening

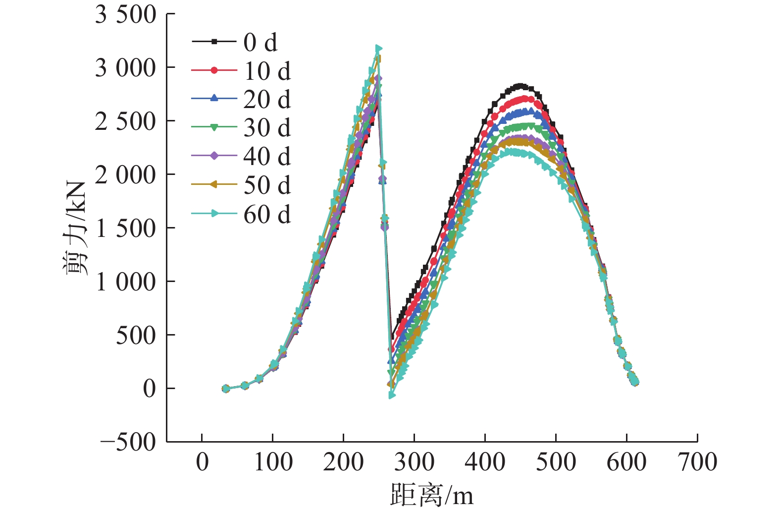
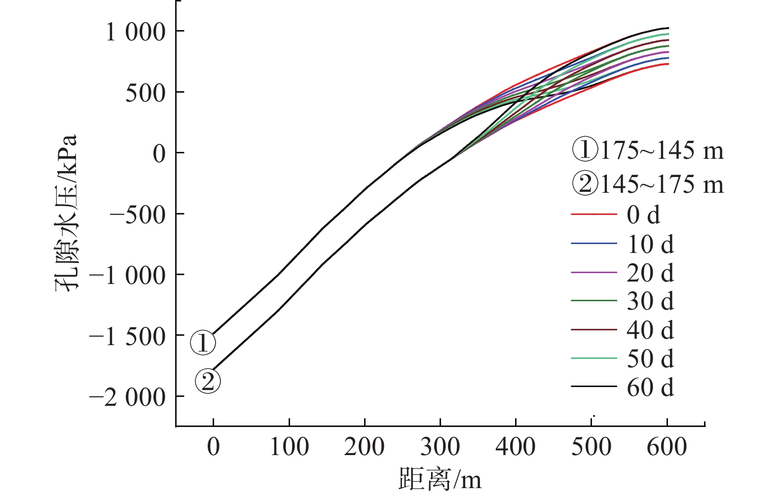
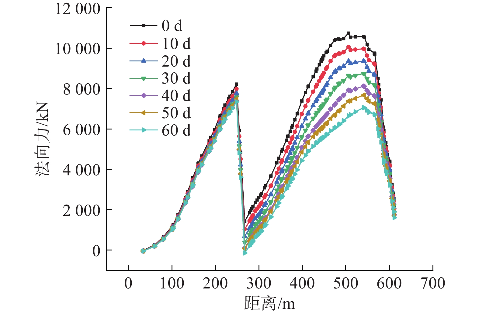
    • 摘要: 以三峡库区凉水井滑坡为研究对象,采用理论分析与数值模拟的研究手段,构建了滑带强度弱化模型,提出了渗流驱动的滑坡启滑判据,应用Geo-studio有限元程序分析了库水不同升降速率对滑坡稳定性的影响,揭示了库水升降作用下岸坡渗流场演变规律和渗流驱动下的启滑机制。研究表明:(1)渗透压力与渗透时间的变化是滑带土强度弱化的关键因素,弱化到临界强度时,在渗流驱动下发生压剪破坏而启滑,由局部向整体以渐进模式破坏失稳;(2)库水升降过程中,坡体内孔隙水压力滞后性较明显,水位升降速率会影响坡体地下水响应时程,升降速率越大,孔隙水压力变化越大,渗流驱动力越大,滑坡稳定性变化越快,越趋近于渐进破坏;(3)库水位从175 m降到145 m,凉水井滑坡滑面法向应力最大降低了38.19%,剪应力最大降低了22.20%,有效法向应力最大落差为168.64 kPa,抗剪强度最大落差为63.45 kPa。以上分析结论与规律可为涉水滑坡启滑机制分析、库岸山体滑坡失稳研究及应急防治工程等提供科学依据和理论方法。

       

      Abstract: This study focuses on the Liangshuijing landslide in the Three Gorges Reservoir area, using theoretical analysis and numerical simulations methods to construct a strength weakening model for the sliding zone and proposes a criterion for seepage-driven landslide initiation. The influence of different water level rise and fall rates on landslide stability is analyzed using the finite element program Geo-Studio, and the evolution laws of bank slope seepage field under the rise and fall of reservoir water and the starting and sliding mechanism caused by seepage are revealed. The research finds that changes in seepage pressure and time are crucial in weakening the strength of sliding zone soil. Once it reaches the critical strength, seepage causes pressure shear failure, leading to the initiation of the landslide, which progresses from local to overall failure. During the reservoir water level rise and fall process, the hysteresis of pore water pressure in the slope body is evident, and the rate of water level change affects the response time of groundwater in the slope. A faster rate of water level change leads to a greater change in pore water pressure, more driving force from seepage, and a faster change in landslide stability and a closer approach to progressive failure. When the reservoir water level drops from 175 m to 145 m, the normal stress on the sliding surface of the Liangshuijing landslide decreases by 38.19%, and the shear stress decreases by 22.20%. The maximum decrease in the effective normal stress is 168.64 kPa and the maximum decrease in shear strength is 63.45 kPa. The above findings provide a scientific basis and theoretical methods for the analysis of landslide initiation and sliding mechanisms, instability research of reservoir bank landslides, and emergency prevention and control engineering.

       

    /

    返回文章
    返回