ISSN 1003-8035 CN 11-2852/P

    基于XGBoost模型的三峡库区燕山乡滑坡易发性评价与区划

    Assessment of landslide susceptibility mapping based on XGBoost model: A case study of Yanshan Township

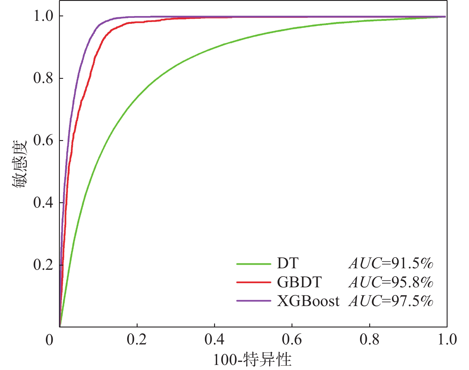
    • 摘要: 滑坡易发性评价是精细化滑坡灾害风险评价的基础。为了提升滑坡易发性评价模型的精度和稳健性,以三峡库区万州区燕山乡为例,选取工程地质岩组、堆积层厚度等九个影响因子构建滑坡易发性评价指标体系,应用信息量模型定量分析滑坡发育与指标之间的关系。在此基础上,随机选取70%/30%的滑坡样本作为训练/验证数据集,应用极致梯度提升模型(extreme gradient boosting, XGBoost)开展易发性评价。随后从模型预测精度和模型稳定性两方面将其与决策树模型(decision tree, DT)和梯度提升树模型(gradient boosting decision tree, GBDT)进行对比。结果表明:研究区堆积层滑坡主要受长江水系、堆积层厚度和工程地质岩组影响。XGBoost模型具有最高的准确率(94.3%)和预测精度(97.3%)。在模型稳定性验证中,平均预测精度最高(97.3%),优于DT(91.3%)和GBDT(95.7%),模型标准差和变异系数均为0.01,低于其余两种模型。XGBoost在区域滑坡易发性评价与制图中得到了可靠的结果,为滑坡灾害空间预测提供了新的技术支撑。

       

      Abstract: Landslide susceptibility assessment forms the foundation for precise evaluation of landslide risk. To enhance the accuracy and robustness of landslide susceptibility mapping, a state-of-art machine learning algorithm named the extreme gradient boosting model (XGBoost) was introduced to this study. Yanshan Town in Wanzhou district, Three Gorges reservoir, was chosen as a case study. Nine influencing factors, including engineering geological lithology and thickness of deposit layer, were selected to construct the landslide susceptibility evaluation index system. The relationship between landslide development and these indicators is quantitatively analyzed using the information value model. Subsequently, 70% of landslide samples were randomly assigned for training, while the remaining 30% were used for validation. The XGBoost model was then employed for landslide susceptibility mapping. The output were compared with those of the decision tree model (DT) and gradient boosting decision tree (GBDT) in terms of prediction accuracy and model stability. The findings revealed that distance to the Yangtze River, soil thickness, and lithology were the primary factors influencing landslide development. The XGBoost model demonstrated the highest average prediction accuracy (97.3%) in 100 repeated trials, surpassing the DT (91.3%) and GBDT models. Moreover, the XGBoost model exhibited superior robustness with a standard deviation and coefficient of variation of 0.01, lower than the other two models. It also achieved the highest accuracy (94.3%) and prediction accuracy (97.3%) in the validation process. The proposed XGBoost model serves as a reliable assessment method and yields optimal results in regional landslide susceptibility mapping.

       

    /

    返回文章
    返回